大和ゆとりの森

blog IconInformationお知らせ

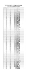
第6回ゆとりの森マラソン大会結果

 

 今年も多くの方にご参加いただきましてありがとうございました。

「第6回ゆとりの森マラソン大会」の完走結果を掲載させていただきます。

 

【①・② 小学校低学年1.5kmの部】

  ①1.5低男のサムネイル   ②1.5低女のサムネイル

  ①男子            ②女子

 

【③・④ 小学校高学年1.5kmの部】

  ③1.5k高男2のサムネイル④1.5k高女のサムネイル

   ③男子          ④女子

 

【⑤・⑥ 一般3kmの部】

⑤3k男のサムネイル⑥3k女のサムネイル

   ⑤男子          ⑥女子

 

【⑦・⑧ 一般5kmの部】

⑦5k一般男のサムネイル⑧5k一般女のサムネイル

   ⑦男子           ⑧女子

 

1、5km高学年、3km、5kmの完走証は

後日改めて送付させていただきます。

どうぞよろしくお願いいたします。